En su último reporte, el grupo tres del IPCC destacó que en el último tiempo se registraron las emisiones de gases de efecto invernadero más altas de la historia. Entre el 23 y el 42 por ciento de esas emisiones globales provienen del sistema alimentario actual. Es decir, de dónde y cómo se producen los alimentos que consumimos. Ante una distribución tan elevada, vale la pena revisar la contribución de Argentina y sus efectos en la dieta de la sociedad.
En el país, según el último inventario de gases de efecto invernadero, el 21.6 por ciento de las emisiones del país vienen de la ganadería. Este es el subsector que se encuentra en primer lugar, casi ocho puntos por encima del transporte. Desde el punto de vista del ambiente la situación parece poco sostenible. ¿Podríamos justificarla diciendo que aporta alimento a todes? Veamos.
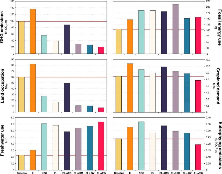
A comienzos de este año, el investigador argentino Ezequiel Arrieta junto con un equipo, publicó en la revista Sustainability Sciece - parte de Naciones Unidas y la Universidad de Tokio - un análisis de las dimensiones ambientales, económicas y de salud pública de la alimentación en Argentina. Encontraron que de las 59.8 millones de hectáreas utilizadas para la producción de alimentos, 53.2 se utilizaron para la producción de carne y leche vacuna; 8.24 fue para cultivos, con aproximádamente 5 millones destinadas a cultivos para animales (maíz, soja, etc), y 3 millones para cultivos para consumo humano directo (frutas, verduras, etc). Es decir, utilizamos el 89 por ciento de las hectáreas de producción de alimentos para perpetuar un modelo insostenible a nivel ambiental y alimentario. ¿Y a nivel salud?
También te puede interesar: Las 3R en tu home office: Cómo hacer un espacio de trabajo amigable con el medio ambiente

En este mismo artículo compararon la guía alimentaria nacional con otras dietas modeladas. Concluyeron que tanta tierra y emisiones asociadas a la producción de alimentos de origen animal no significan una mejor dieta y salud para la población, sino lo contrario. La dieta local fue la más pobre en términos de calidad de la dieta, sustentabilidad ambiental y costo.
Otro artículo para leer: 4 famosos que impulsan al vegetarianismo y veganismo como filosofía de vida

Si sumamos la escasa sustentabilidad ambiental, de salud y económica del sistema alimentario nacional, el dato del 37,3% de personas viviendo por debajo de la línea de pobreza (10.806.414 personas, INDEC) y la perpetuación de la explotación animal, no queda otra que preguntarnos… ¿No hay que replantear nuestra forma de comer?
En esta semana del ambiente te queremos invitar a hacerte estas preguntas, a seguir buscando respuestas. Si querés comenzar YA, te invitamos a sumarte al Acuerdo Basado en Plantas, iniciativa global que busca transformar el sistema alimentario en uno justo, saludable, sostenible y basado en plantas.
Global
